Ridurre ed eliminare il riverbero e il rumore in ristoranti, uffici, negozi e bar

comfort acustico uffici

In questa pagina discuteremo di cosa è il riverbero delle sale, le problematiche che può causare e perchè è importante ridurre o eliminare il Rumore nei ristoranti, negli uffici, nelle attività lavorative e nei luoghi pubblici.

Cos’è il riverbero e perché dà fastidio?

Hai mai avuto difficoltà a capire cosa dice una persona in un ristorante affollato o in un ufficio rumoroso? Il problema potrebbe essere il riverbero: quel prolungamento del suono che si verifica quando le onde sonore rimbalzano sulle superfici dure (come pareti e soffitti) senza essere frenate.

Esistono alcuni vocaboli che utilizziamo comunemente in italiano e che definiscono le problematiche che ci infastidiscono all’orecchio: rumore, frastuono, rimbombo, chiasso, baccano, fracasso, etc.

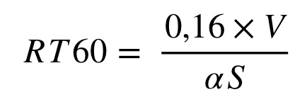
Questo effetto, codificato e descritto scientificamente come tempo di riverbero RT60, indica quanto tempo impiega un suono a decadere di 60 decibel dopo essere stato interrotto. In ambienti pubblici come ristoranti, call center, scuole e uffici, un tempo di riverbero troppo alto rende faticosa la comunicazione e crea stress.

Quando una sorgente, come per esempio la voce umana, produce un suono all’interno di un ambiente chiuso, questo viene riflesso dalle pareti creando quello che viene definito riverbero. Il concetto di riverbero e la sua determinazione fisica vennero teorizzati da Wallace Clement Sabine a fine ‘800.

Questo valore, chiamato RT60 o T60, è l’indicatore principe della performance acustica di una sala e viene tuttora utilizzato nella maggior parte dei calcoli per il trattamento acustico degli ambienti. Merito di Sabine fu il determinare come il tempo di riverbero derivi da due fattori principali: il volume della sala, quindi le sue dimensioni, e il coefficiente di assorbimento dei materiali in essa presenti.

Separatori acustici per uffici a Milano, divisori AkuPan Screen con rotelle

Un ambiente Rumoroso con troppo riverbero:

  • Rende difficile la conversazione riducendo la comprensione del parlato
  • Aumenta il rumore generale
  • Stanca chi parla e chi ascolta aumentando la fatica mentale e vocale
  • Causa mal di testa, confusione, perdita di concentrazione e di produttività
  • Allontana i clienti dai locali pubblici
  • Spinge le persone a parlare più forte (effetto Lombard)

La letteratura scientifica ha prodotto nel corso dei decenni molti parametri di comfort acustico legato alle volumetrie delle sale e alla loro destinazione d’uso. Abbiamo così l’opportunità di attingere a valori che ci dicono di quanti secondi deve essere il tempo di riverbero ideale di sale musicali, teatri, cinema, oppure uffici, ristoranti e così via.

A parità di volume, un call center avrà necessità di avere una riverberazione molto più breve (in questo caso occorre eliminare il riverbero) di una sala da concerto, oppure di una chiesa ed è proprio con il corretto trattamento acustico che possiamo riportare questi valori nella loro durata ideale.

Comfort acustico ristorazione: pannelli fonoassorbenti

Comfort acustico in ufficio

In un ambiente di lavoro, il comfort acustico è un fattore determinante per la produttività, la concentrazione e il benessere psicofisico dei dipendenti. Uffici open space, sale riunioni e aree comuni spesso soffrono di livelli elevati di riverbero, che amplificano le conversazioni, rendendo difficile la comprensione delle conversazioni e delle telefonate.

La soluzione passa da un trattamento su misura che preveda, con un opportuno calcolo, l’uso di pannelli fonoassorbenti ad alte prestazioni, installati su soffitti e pareti o integrati come divisori tra le postazioni. Prodotti come i nostri AkuPan® FireSafe o i pannelli bifacciali autoportanti garantiscono un netto abbattimento del riverbero, migliorando la qualità sonora dell’ambiente e favorendo un clima lavorativo più sereno e produttivo.

Esempio di tempi di riverbero ideali per uffici:

  • Uffici singoli = ≤ 0,6 secondi
  • Open space con meno di 20 persone = ≤ 0,5 secondi
  • Open space con più di 20 persone = ≤ 0,4 secondi
  • Sale riunioni = ≤ 0,7 secondi
  • Sale riunioni con comandi vocali = ≤ 0,5 secondi
  • Sala conferenze 100mq h300cm = ≤ 0,82 secondi (target volumetrico per il parlato generico)

Comfort acustico nel Ristorante e nel Bar

In un ristorante, bar o birreria, il suono fa parte dell’esperienza. Un ambiente troppo rumoroso può compromettere il piacere di un pasto, mentre un’acustica ben studiata invita alla conversazione e al relax. I problemi principali sono legati all’eccessivo riverbero, all’accumulo di voci e rumori di fondo, e alla difficoltà di comprensione, specialmente in presenza di gruppi numerosi o con musica di sottofondo.

Il fenomeno dell’effetto Lombard, dove tutti iniziano a parlare più forte per coprire il rumore, porta rapidamente a un clima caotico e stancante. Questo incide negativamente sulla soddisfazione del cliente, con conseguenze dirette su recensioni, tempo medio di permanenza e ritorno.

Con un trattamento acustico realizzato su misura, è possibile risolvere definitivamente questi problemi. L’uso di pannelli fonoassorbenti applicati sui soffitti oppure a parete, magari con stampa digitale come la nostra serie AkuPan® ART permette di migliorare drasticamente il tempo di riverbero ed eliminare i rimbombi senza compromettere lo stile e l’identità visiva del locale. Un ristorante trattato acusticamente trasforma ogni cena in un’esperienza piacevole, portando il cliente a restare più a lungo e tornare con piacere.

Esempio di tempi di riverbero ideali per Ristoranti e Bar:

  • Ristorante, bar = ≤ 0,6 secondi (target fisso)
  • Ristorante, bar 100mq h300cm = ≤ 0,82 secondi (target volumetrico per il parlato generico)
  • Mensa aziendale = ≤ 0,6 secondi
  • Refettori = ≤ 0,1 secondi

Comfort acustico nei luoghi pubblici

Biblioteche, sale d’attesa, hotel, musei, palestre, aree comuni e ambienti scolastici condividono una sfida comune: creare ambienti accoglienti, silenziosi e funzionali, capaci di adattarsi a flussi variabili di persone e attività. In questi spazi, l’acustica contribuisce direttamente alla percezione di qualità, sicurezza e attenzione al benessere.

Un ambiente pubblico con riverbero elevato viene percepito come freddo, caotico e affollato. Viceversa, quando il suono è controllato, tutto appare più ordinato e professionale: la voce degli operatori è chiara, le istruzioni sono comprensibili, e il tempo di attesa diventa meno stressante.

L’installazione di pannelli acustici adatti come per esempio la serie esagonale Exist FireSafe o elementi fonoassorbenti a soffitto con tessuto ignifugo oppure con tutti i componenti ignifughi, garantisce una riduzione ottimale del rumore, valorizzando allo stesso tempo l’estetica dello spazio.

Esempio di tempi di riverbero ideali per Luoghi Pubblici:

  • Ingresso/Atrio hotel = ≤ 0,8 secondi
  • Auditorium 100mq h300cm = ≤ 0,82 secondi (target volumetrico per il parlato generico)
  • Aula scolastica = ≤ 1,2 secondi (Italia)
  • Aula scolastica = ≤ 0,6 secondi (derivazione Norvegia)
  • Asilo Open Space = ≤ 0,4 secondi (derivazione Danimarca)
  • Palestre = ≤ 1,2 secondi

Una curiosità sulle parole: lo sapevi che…?

Nel parlare comune di qualsiasi lingua, le parole sono formate da vocali e consonanti ma le lingue latine sono quelle che soffrono di più la riverberazione elevata poichè più ricche, anche nei finali delle parole stesse, di vocali rispetto alle altre lingue del mondo.

Perchè?

Questo accade perchè le vocali producono una determinata energia che può essere, a causa della eccessiva riverberazione o del decadimento, più lunga nel tempo e maggiore rispetto a quella delle consonanti.

Se pensiamo ad una A e la confrontiamo con una C, capiamo bene la differenza: la A possiamo anche cantarla fino a farci mancare il fiato mentre la C termina subito e per farla durare a lungo non possiamo fare altro che ripeterla. Più o meno è la stessa cosa che succede in una sala quando le parole della voce umana si propagano nell’ambiente.

Se non capiamo le consonanti brevi perchè vengono mascherate dalle vocali lunghe, non comprendiamo il significato della parola. Le consonanti sono quindi i “pilastri” per l’intelligibilità del parlato.

pannelli fonoassorbenti uffici

Come si possono correggere il riverbero, il rumore e il rimbombo?

La buona notizia è che il riverbero, il rimbombo e il frastuono in generale si possono controllare e ridurre efficacemente. La soluzione passa da un intervento mirato con materiali fonoassorbenti, che convertono l’energia sonora in minimo calore, evitando che il suono si rifletterà troppe volte nell’ambiente.

Arredamento che aiuta… ma non basta

È vero che anche gli elementi di arredo possono contribuire a migliorare l’acustica:

  • Tende pesanti e tappeti: assorbono le frequenze medio-alte, soprattutto nei punti di riflessione diretta non sempre si possono inserire in ambiente
  • Divani e poltrone imbottite: aiutano a piegare i percorsi del suono e offrono un contributo all’assorbimento.
  • Piante: assorbono e diffondono leggermente il suono grazie alla forma e alla struttura delle foglie, possono essere una piccola correzione casalinga per le sale di ascolto HIFI ma molto limitata se la sala è molto riverberante.
  • Controsoffitti fonoassorbenti: in alcuni casi possono contribuire a una riduzione generale del riverbero; ci sono tanti tipi di “quadrotti” e molti hanno basse prestazioni. Una valutazione tecnica è sempre consigliata.

Questi elementi da soli però non bastano, soprattutto in ambienti con volumi elevati o molta superficie riflettente o con specifiche esigenze di comfort da garantire. Per ottenere un’acustica controllata e con un’estetica leggera e di design servono pannelli fonoassorbenti ad alte prestazioni.


Pannelli fonoassorbenti per ristoranti

I pannelli acustici: il vero trattamento per eliminare il rumore

L’installazione di pannelli fonoassorbenti è il modo più efficace e scientificamente corretto per controllare il riverbero. Questi dispositivi, quando ben progettati, permettono di:

  • Abbattere i tempi di riverbero (RT60) secondo i valori ideali per il tipo di ambiente
  • Aumentare l’intelligibilità del parlato
  • Ridurre l’effetto “eco” e il rumore di fondo
  • Rendere lo spazio più confortevole, accogliente e funzionale

Un Esempio concreto

Con i nostri pannelli AkuPan® FireSafe, certificati e testati, si può raggiungere un coefficiente di assorbimento acustico αS = 1,11 sulla banda di 500 Hz in aderenza con soli 52 mm di spessore. Questo significa che il suono viene praticamente annullato alla prima riflessione, migliorando immediatamente la qualità acustica della sala.
Queste prestazioni non sono comuni, anzi, sono quasi doppie rispetto ai pannelli abitualmente in commercio, quindi possiamo inserire meno metri quadri di pannelli per ottenere lo stesso comfort.

Ad oggi le prestazioni della nostra serie AkuPan® sono le più alte in commercio! Scopri di più!

separatori acustici da scrivania, divisori fonoassorbenti

Differenza tra isolamento e trattamento acustico

Un punto spesso frainteso: isolare non significa trattare l’acustica.

  • Isolamento acustico = impedire al suono di passare tra ambienti diversi (serve per non disturbare i vicini, ad esempio).
  • Trattamento acustico = migliorare l’ascolto e il comfort dentro una stanza (riducendo riverbero, risonanze, rumore interno).

Un ufficio può essere ben isolato, ma se non è trattato acusticamente, sarà comunque rumoroso e fastidioso da vivere.

Come si installano i pannelli fonoassorbenti?

Queste le opzioni principali dei vari materiali acustici:

  • Incollaggio: rapido, usato per pannelli leggeri o temporanei. Non sempre adatto per ottenere alte prestazioni per la sala.
  • Tassellaggio: fissaggio con viti e tasselli, ideale per pannelli ad alta densità o grande formato con planarità estetica.
  • A sospensione: con opportuni cavi inox garantiti per i carichi sospesi, è il modo migliore per incrementare le prestazioni esponendo una superficie maggiore.
  • Autoportante da pavimento: bifacciale su gambe o basi oppure su ruote, può essere un divisorio per uffici o ristoranti.
  • Da scrivania: bifacciale specifico per le scrivanie degli uffici, in appoggio o con morsetti.

Abbiamo certificato le prestazioni dei nostri prodotti. Quando un pannello serie AkuPan® è bifacciale e ad almeno 1 metro dalle superfici, aumenta le prestazioni del 169%.

Materiali Acustici a confronto: qual è il migliore?

MaterialePrestazioniFrequenza limiteBiocompatibilitàTipico uso/installazione
Pannelli con Fibre mineraliMolto buone250-500HzAltaTasselli
Pannelli con Fibre di poliestereBuone500-1000HzBuonaIncollaggio o tasselli
Schiume poliuretanicheLimitate1000-2500HzMediaIncollaggio
Pannelli con listelli in legnoMolto limitate2500HzMediaIncollaggio

I materiali incollati sono spesso prodotti industriali a bassa prestazione, ideali solo per esigenze temporanee o specifiche.

Hai bisogno di una consulenza?

Contattaci: analizziamo il tuo ambiente e progettiamo insieme la soluzione perfetta.
Ti guidiamo nella scelta dei materiali, nella disposizione e nel calcolo dei tempi di riverbero ideali.

Produciamo direttamente in modo sartoriale tutti i nostri prodotti in provincia di Bergamo. Spediamo e installiamo in tutta Italia, Svizzera ed Europa.

-> Esplora i nostri pannelli fonoassorbenti
-> Scopri gli assorbimenti misurati in laboratorio
-> Richiedi una Consulenza acustica Gratuita

separatori acustici da scrivania, divisori fonoassorbenti

Chi parla di noi:

https://www.lavorincasa.it/quadri-fonoassorbenti/

https://www.lavorincasa.it/pannelli-fonoassorbenti/

Chi usa i nostri prodotti:
Lamborghini Automobili, Istituto Luce Cinecittà, Panasonic, Unicredit, CNR Consiglio Nazionale delle Ricerche, Verdena, Tommaso Colliva, DJ Prezioso, Edda Silvestri (Aimart) e molti altri.

Contattateci al nostro numero verde se avete dubbi o domande, oppure compilate il modulo per la consulenza acustica gratuita per richiedere un progetto acustico personalizzato: saremo ben lieti di aiutarvi a compiere un passo fondamentale per migliorare la qualità della vostra attività!

Carrello